2024-05-30 09:31
已查看152次
隨著醫藥行業的發展,國家政府和企業對藥品質量、安全等方面已經引起足夠的重視,而且意識到了在大部分情況下,藥品的安全是和包裝材料的各項性能指標密切相關的。對醫藥行業而言,如何長久保持藥品的藥效,需要在了解藥物作用的同時充分保護產品的包裝材料。而分析包裝材料的阻隔性可以使包裝材料的各項性能得到保證。本篇文章山東普創工業科技有限公司根據標準YBB00092003-2015 水蒸氣透過量測定法為您提供水蒸氣透過量測定法第二法電解法。
檢測設備:
OTR-D3水蒸氣透過率測試儀(電解法)

第二法︰電解分析法
電解分析法系指水蒸氣遇電極電解為氫氣和氧氣,通過電解電流的數值計算出一定時間內透過單位面積試樣的水蒸氣透過總量的水蒸氣透過量分析方法。
儀器裝置水蒸氣透過量測定儀,儀器主要包括以下幾部分。
透濕室:上端測試皿包含一個在飽和鹽溶液中浸泡過的毛玻璃板,以保持試樣一端的水蒸氣,下端與電解槽相通。
測試裝置:精度為讀數的±2%,不小于0.ol g/ (m2- 24 h)。
試驗條件除另有規定外,A.溫度23 ℃±0.5 ℃,相對濕度85%±2%。B.溫度38 ℃主0.5 ℃,相對濕度90%土2%。
測定法﹒除另有規定外,選取厚度均勻、無皺褶、折痕、針孔及其他缺陷的試樣三片,進行試驗,所需相對濕度可通過鹽溶液調節。配制方法見表1,當顯示的值已穩定一段時間后,測試結束(當相鄰3次電流采樣值波動幅度不大于5%時,可視為電流已保持恒定,水蒸氣滲透量達到穩定狀態)。

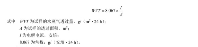
試驗結果以三個試樣的算術平均值表示,每一個試樣測定值與算術平均值的偏差應不得過±10%。按下式計算每個試樣的水蒸氣透過量。

查看更多 >
?查看更多 >
?查看更多 >
?查看更多 >
?查看更多 >
?查看更多 >
?
聯系我們